Бюджетная отладочная FPGA плата на Lattice iCE40UP5k и Raspberry Pi RP2040
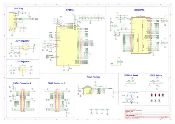
Electronut Labs представили новую отладочную плату Humble iCE, которая включает в себя Lattice iCE40UP5k и Raspberry Pi RP2040. На борту у новой отладочной платы имеется следующее: Lattice iCE40UP5k Raspberry Pi RP2040 32 Мб Flash-памяти 2 x 2x20 2.54 мм...
Electronut Labs представили новую отладочную плату Humble iCE, которая включает в себя Lattice iCE40UP5k и Raspberry Pi RP2040.

На борту у новой отладочной платы имеется следующее:
- Lattice iCE40UP5k
- Raspberry Pi RP2040
- 32 Мб Flash-памяти
- 2 x 2x20 2.54 мм разъема (3 x PMOD iCE40, 1 x PMOD RP2040)
- Разъем отладки RP2040
- Красный светодиод
- Синий светодиод
- Кнопка сброса
- Кнопка включения RP
- Кнопка ICE40
- USB-type C разъем
- 4 отверстия для креплений
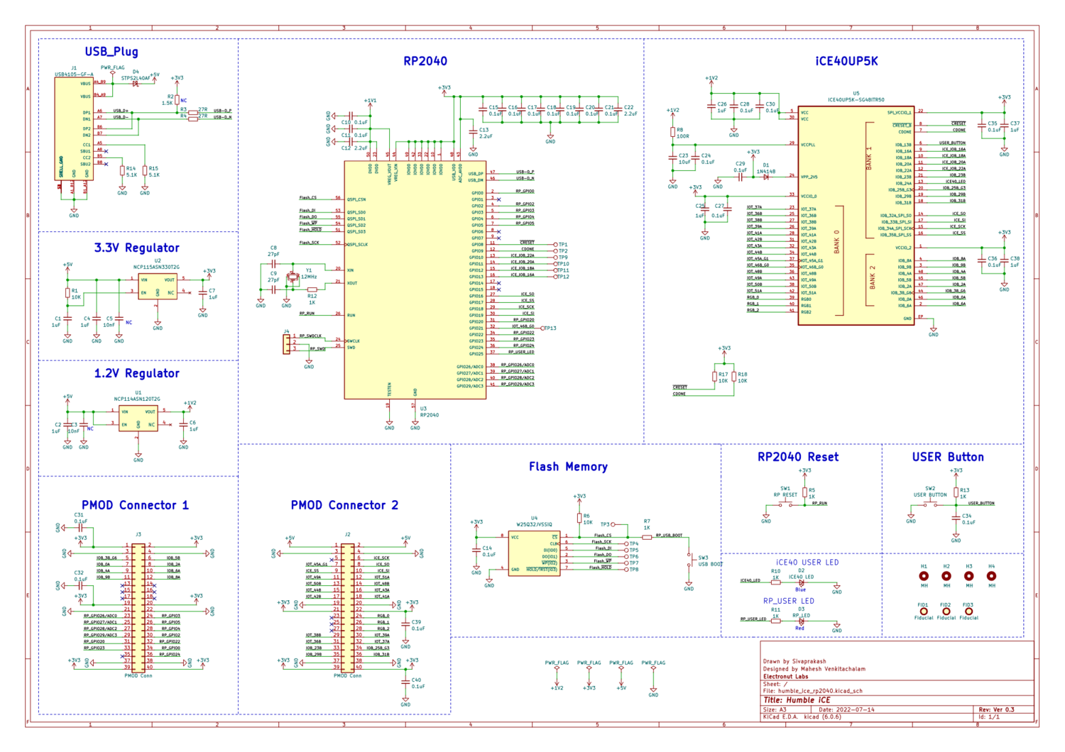
Взаимодействие с ПК
RP2040 выступает в роли загрузчика битового потока и коммуникационного моста для ICE40. Четыре дополнительных линий GPIO выступают в роли коннекторов для микросхем. При подключении к ПК через USB устройство распознается как два. Один из виртуальных портов используется для отправки битового потока с ПК на RP при помощи Python-скрипта, второй же может быть использован для обмена данными по протоколу UART с FPGA. Загрузка битого потока в FPGA происходит по протоколу SPI, при этом FPGA выступает в роли ведомого (slave). После загрузки битовый поток сохраняется во флэш-памяти FPGA. При включении RP, если внутри флэш-памяти лежит битовый поток, то он будет загружен в ICE40.



